转动惯量怎么求???
的有关信息介绍如下:转动惯量的计算公式为:
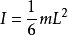
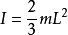
1、对于细杆
(1)当回转轴过杆的中点(质心)并垂直于杆时,其中m是杆的质量,L是杆的长度:

(2)当回转轴过杆的端点并垂直于杆时,其中m是杆的质量,L是杆的长度:

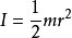
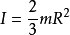
2、对于圆柱体
当回转轴是圆柱体轴线时,其中m是圆柱体的质量,r是圆柱体的半径:

3、对于细圆环
当回转轴通过环心且与环面垂直时:

当回转轴通过环边缘且与环面垂直时:

沿环的某一直径,R为其半径:
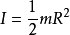
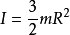
4、对于薄圆盘
当回转轴通过中心与盘面垂直时:

当回转轴通过边缘与盘面垂直时,R为其半径:

5、对于空心圆柱
当回转轴为对称轴时,R1和R2分别为其内外半径。

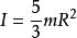
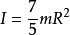
6、对于球壳
当回转轴为中心轴时,R为球壳半径:
当回转轴为球壳的切线时:

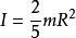
7、对于实心球体
当回转轴为球体的中心轴时,R为球体半径:

当回转轴为球体的切线时:

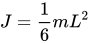
8、对于立方体
当回转轴为其中心轴时,L为立方体边长:

当回转轴为其棱边时:
当回转轴为其体对角线时:
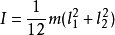
9、对于长方体
当回转轴为其中心轴时,式中l1和l2是与转轴垂直的长方形的两条边长:

扩展资料
实验测定:
实际情况下,不规则刚体的转动惯量往往难以精确计算,需要通过实验测定。
测定刚体转动惯量的方法很多,常用的有三线摆、扭摆、复摆等。三线摆是通过扭转运动测定物体的转动惯量,其特点是物理图像清楚、操作简便易行、适合各种形状的物体,如机械零件、电机转子、枪炮弹丸、电风扇的风叶等的转动惯量都可用三线摆测定。这种实验方法在理论和技术上有一定的实际意义。
参考资料来源:百度百科-转动惯量



