独立样本T检验与配对样本T检验的区别
的有关信息介绍如下:1、适用范围不同
独立样本t检验的数据来源是独立的样本,如同一个班级中男生和女生的成绩是否有差异;而配对样本t检验的范围是同一组对象,例如一个班级中的女生第一次月考和第二次月考的成绩是否有差异。
2、数据性质不同
独立样本t检验中的各实验处理组之间毫无相关存在,即为独立样本,该检验用于检验两组非相关样本被试所获得的数据的差异性;而配对样本t检验的数据是检验匹配而成的,用于检验匹配而成的两组被试获得的数据或同组被试在不同条件下所获得的数据的差异性,组成的样本即为相关样本。


3、t检验统计量计算公式不同
独立样本t检验统计量为:

其中S1^2和 S2^2为两样本方差;n1 和n2 为两样本容量。
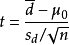
而配对样本t检验的统计量为:

其中,Sd为配对样本差值之标准偏差,n为配对样本数。
参考资料来源:百度百科-T检验



