分数简便运算
的有关信息介绍如下:答案:1/4。
计算过程如下:
11分之5乘20分之1+11分之3乘2分之1+11分之5乘5分之1
=1/11x1/4+1/11x3/2+1/11x1
=1/11x(1/4+3/2+1)
=1/11x(1/4+6/4+1)
=1/11x11/4
=1/4

扩展资料:
分数可以表述成一个除法算式:如二分之一等于1除以2。其中,1 分子等于被除数,- 分数线等于除号,2 分母等于除数,而0.5分数值则等于商。
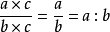
分数还可以表述为一个比,例如;二分之一等于1:2,其中1分子等于前项,—分数线等于比号,2分母等于后项,而0.5分数值则等于比值。分数的基本性质:分数的分子和分母都乘以或都除以同一个不为零的数,所得到的分数与原分数的大小相等。
(b、c不等于零)
分数还有一个有趣的性质:一个分数不是有限小数,就是无限循环小数,像π等这样的无限不循环小数,是不可能用分数代替的。
分数的另一个性质是:当分子与分母同时乘或除以相同的数(0除外),分数值不会变化。因此,每一个分数都有无限个与其相等的分数。利用此性质,可进行约分与通分。
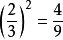
对分数进行次方运算结果不可能为整数,且如果运算前是最简的分数,则结果也会是最简,如

参考资料来源:百度百科--分数乘法
参考资料来源:百度百科--分数



