您的位置首页生活百科

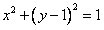
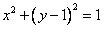
已知点P(x,y)是圆x 2 +y 2 =2y上的动点。(1)求2x+y的取值范围;(2)若x+y+

已知点P(x,y)是圆x 2 +y 2 =2y上的动点。(1)求2x+y的取值范围;(2)若x+y+

的有关信息介绍如下:

解:(1)由已知点P(x,y)是圆x 2 +y 2 =2y上的动点。(1)求2x+y的取值范围;(2)若x+y+ ,得已知点P(x,y)是圆x 2 +y 2 =2y上的动点。(1)求2x+y的取值范围;(2)若x+y+ ,

已知点P(x,y)是圆x 2 +y 2 =2y上的动点。(1)求2x+y的取值范围;(2)若x+y+ ,

则 =已知点P(x,y)是圆x 2 +y 2 =2y上的动点。(1)求2x+y的取值范围;(2)若x+y+ =已知点P(x,y)是圆x 2 +y 2 =2y上的动点。(1)求2x+y的取值范围;(2)若x+y+ 已知点P(x,y)是圆x 2 +y 2 =2y上的动点。(1)求2x+y的取值范围;(2)若x+y+ 。

(2)由已知点P(x,y)是圆x 2 +y 2 =2y上的动点。(1)求2x+y的取值范围;(2)若x+y+ ,得已知点P(x,y)是圆x 2 +y 2 =2y上的动点。(1)求2x+y的取值范围;(2)若x+y+ ,

已知点P(x,y)是圆x 2 +y 2 =2y上的动点。(1)求2x+y的取值范围;(2)若x+y+ ,

x+y+a≥0恒成立,即a≥-(x+y)恒成立,

已知点P(x,y)是圆x 2 +y 2 =2y上的动点。(1)求2x+y的取值范围;(2)若x+y+ =已知点P(x,y)是圆x 2 +y 2 =2y上的动点。(1)求2x+y的取值范围;(2)若x+y+ ,

已知点P(x,y)是圆x 2 +y 2 =2y上的动点。(1)求2x+y的取值范围;(2)若x+y+ 。