怎样求不定积分
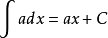
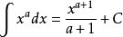
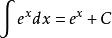
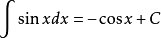
的有关信息介绍如下:1、直接利用积分公式求出不定积分。
2、通过凑微分,最后依托于某个积分公式。进而求得原不定积分。例如

3、运用链式法则:

4、运用分部积分法:∫udv=uv-∫vdu;将所求积分化为两个积分之差,积分容易者先积分。实际上是两次积分。积分容易者选为v,求导简单者选为u。例子:∫Inx dx中应设U=Inx,V=x。
扩展资料:
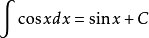
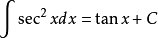
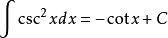
一、常用的积分公式有:










二、求不定积分的注意事项:
1、如果f(x)在区间I上有原函数,即有一个函数F(x)使对任意x∈I,都有F'(x)=f(x),那么对任何常数显然也有[F(x)+C]'=f(x).即对任何常数C,函数F(x)+C也是f(x)的原函数。这说明如果f(x)有一个原函数,那么f(x)就有无限多个原函数。
2、虽然很多函数都可通过如上的各种手段计算其不定积分,但这并不意味着所有的函数的原函数都可以表示成初等函数的有限次复合,原函数不可以表示成初等函数的有限次复合的函数称为不可积函数。



