立方公式怎么算
的有关信息介绍如下:长方体的立方即是体积:长×宽×高;
正方体的立方即是体积:棱长x棱长x棱长。
在图形方面,立方是测量物体体积的,如立方米、立方分米、立方厘米等常用单位,步骤如下:
(1)求出立方体的棱长
(2)棱长³=体积(注意:如果棱长单位是厘米,体积单位是立方厘米,写作cm³;如果棱长单位是米,体积单位是立方米,写作m³,以此类推。)

扩展资料:
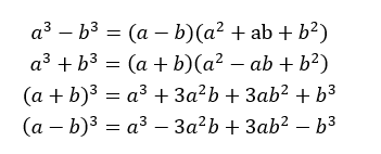
完全立方公式包括完全立方和公式和完全立方差公式,完全立方和(或差)公式指的是两数和(或差)的立方等于这两个数的立方和(或差)与每一个数的平方乘以另一个数3倍的和(或差),即(a±b)3=a3±3a2b+3ab2±b3。
完全立方和公式指的是:
解题时常用它的变形:
和
立方和公式

立方差公式

三项立方和公式

参考资料:百度百科——立方



