什么是代数余子式
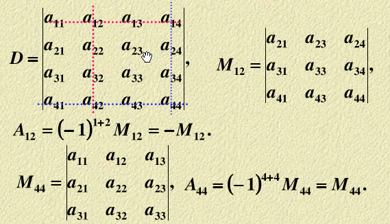
的有关信息介绍如下:在n阶行列式中,把元素ai所在的第o行和第e列划去后,留下来的n-1阶行列式叫做元素ai的余子式,记作M,将余子式M再乘以-1的o+e次幂记为A,A叫做元素a的代数余子式。
一个元素aₒₑi的代数余子式与该元素本身没什么关系,只与该元素的位置有关。带有代数符号的余子式称为代数余子式,计算元素的代数余子式时,首先要注意不要漏掉代数余子式所带的代数符号。

扩展资料:
计算某一行的元素代数余子式的线性组合的值时,尽管直接求出每个代数余子式的值,再求和也是可行的,但一般不用此法,其原因是计算量太大,注意到行列式D中元素的代数余子式。
仅与其所在位置有关,利用这一点,可将D的某一行(或列)元素的代数余子式的线性组合表示为一个行列式,而构造这一行列式是不难的,只需将其线性组合的系数替代D的该行元素。



