您的位置首页百科知识

现在电信全球通套餐介绍

现在电信全球通套餐介绍

的有关信息介绍如下:

目前中国电信的所有套餐都是没有长途漫游费和流量漫游费的,如电信全国畅享套餐:

1、99元全国畅享套餐

现在电信全球通套餐介绍

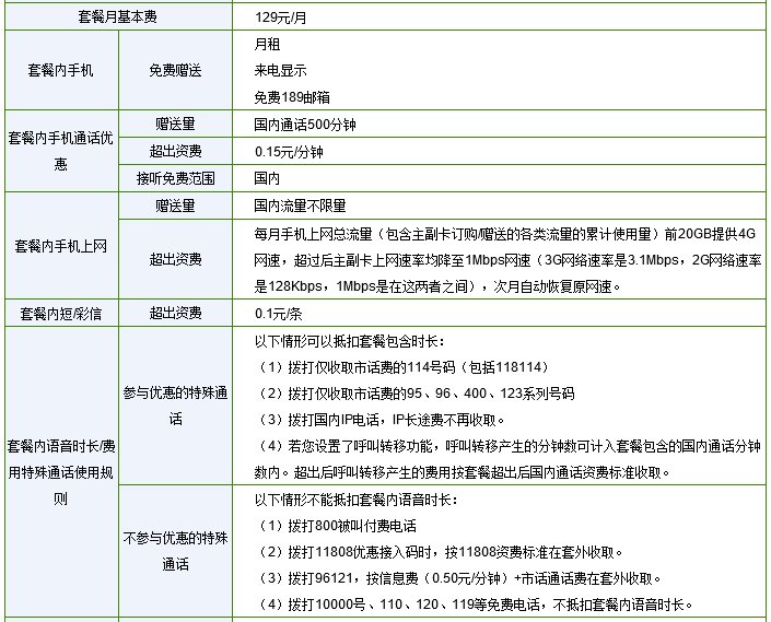
2、129元全国畅享套餐

现在电信全球通套餐介绍

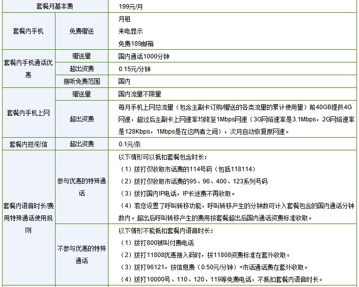
3、199元全国畅享套餐

现在电信全球通套餐介绍

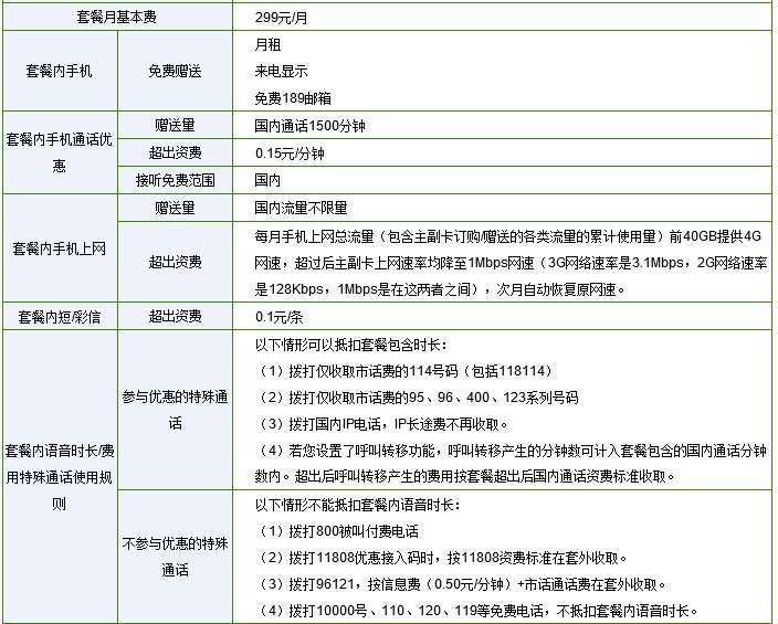
4、299元全国畅享套餐

现在电信全球通套餐介绍