协方差怎么计算,请举例说明
的有关信息介绍如下:cov(x,y)=EXY-EX*EY
协方差的定义,EX为随机变量X的数学期望,同理,EXY是XY的数学期望,挺麻烦的,建议你看一下概率论cov(x,y)=EXY-EX*EY
举例:
Xi 1.1 1.9 3
Yi 5.0 10.4 14.6
E(X) = (1.1+1.9+3)/3=2
E(Y) = (5.0+10.4+14.6)/3=10
E(XY)=(1.1×5.0+1.9×10.4+3×14.6)/3=23.02
Cov(X,Y)=E(XY)-E(X)E(Y)=23.02-2×10=3.02
此外:还可以计算:D(X)=E(X^2)-E^2(X)=(1.1^2+1.9^2+3^2)/3 - 4=4.60-4=0.6 σx=0.77
D(Y)=E(Y^2)-E^2(Y)=(5^2+10.4^2+14.6^2)/3-100=15.44 σy=3.93
X,Y的相关系数:
r(X,Y)=Cov(X,Y)/(σxσy)=3.02/(0.77×3.93) = 0.9979
表明这组数据X,Y之间相关性很好。

扩展资料
协方差(Covariance)在概率论和统计学中用于衡量两个变量的总体误差。而方差是协方差的一种特殊情况,即当两个变量是相同的情况。
协方差表示的是两个变量的总体的误差,这与只表示一个变量误差的方差不同。 如果两个变量的变化趋势一致,也就是说如果其中一个大于自身的期望值,另外一个也大于自身的期望值,那么两个变量之间的协方差就是正值。 如果两个变量的变化趋势相反,即其中一个大于自身的期望值,另外一个却小于自身的期望值,那么两个变量之间的协方差就是负值。
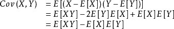
期望值分别为E[X]与E[Y]的两个实随机变量X与Y之间的协方差Cov(X,Y)定义为:

从直观上来看,协方差表示的是两个变量总体误差的期望。
如果两个变量的变化趋势一致,也就是说如果其中一个大于自身的期望值时另外一个也大于自身的期望值,那么两个变量之间的协方差就是正值;如果两个变量的变化趋势相反,即其中一个变量大于自身的期望值时另外一个却小于自身的期望值,那么两个变量之间的协方差就是负值。
如果X与Y是统计独立的,那么二者之间的协方差就是0,因为两个独立的随机变量满足E[XY]=E[X]E[Y]。
但是,反过来并不成立。即如果X与Y的协方差为0,二者并不一定是统计独立的。
协方差Cov(X,Y)的度量单位是X的协方差乘以Y的协方差。而取决于协方差的相关性,是一个衡量线性独立的无量纲的数。
协方差为0的两个随机变量称为是不相关的。
参考资料:百度百科协方差



