电感的电压是怎么计算的?
的有关信息介绍如下:电感两端的电压的相关计算公式:U=L*di/dt。
L是电感量,di/dt代表电流对时间的导数,可以理解为电流变化的快慢。
自感电压要看线圈两端电压变化的快慢程度,电压大小以及磁通量的变化,而次级线圈的互感电压取决与初级线圈的电压,电流和磁通量。

扩展资料:
电感是闭合回路的一种属性,是一个物理量。当线圈通过电流后,在线圈中形成磁场感应,感应磁场又会产生感应电流来抵制通过线圈中的电流。这种电流与线圈的相互作用关系称为电的感抗,也就是电感,单位是“亨利(H)”,以美国科学家约瑟夫·亨利命名。
它是描述由于线圈电流变化,在本线圈中或在另一线圈中引起感应电动势效应的电路参数。电感是自感和互感的总称。提供电感的器件称为电感器。
自感
一个通有电流为I的线圈(或回路),其各匝交链的磁通量的总和称作该线圈的磁链ψ。如果各线匝交链的磁通量都是Φ,线圈的匝数为N,则线圈的磁链ψ=NΦ。线圈电流I随时间变化时,磁链Ψ也随时间变化。根据电磁感应定律,在线圈中将感生自感电动势EL,其值为

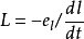
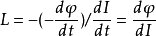
定义线圈的自感L为自感电动势eL和电流的时间导数dI/dt的比值并冠以负号,即

以上二式中,ψ和eL的正方向,以及ψ和I的正方向都符合右手螺旋规则。已知电感L,就可以由dI/dt计算自感电动势。此外,自感还可定义如下

线性磁媒质下四种自感计算公式
从工程观点看,除铁磁材料以外的媒质可认为是线性磁媒质,它们的磁导率近似等于真空磁导率μ0。置于这种媒质中的线圈的自感,只和线圈及其线匝导体的形状、尺寸有关,和电流的量值无关。
四种几何形状简单的线圈或回路的自感L的计算公式如下:
(1)长螺线管的自感(忽略端部效应和线匝径向尺寸)

式中l为螺线管的长度;S为螺线管的截面积;N为总匝数。
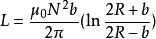
(2)无磁芯环形密绕线圈的自感(环的截面为正方形,环的平均半径为R)

式中b为正方形截面的边长;N为总匝数。若R≫b,则近似有L≈μ0Nb/2πR,形式上与长螺线管自感计算式相同。
(3)同轴电缆的自感(忽略端部效应)

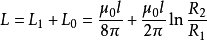
式中R1、R2分别为同轴电缆内外导体的半径;l为电缆长度;Li和Lo分别称为同轴电缆的内自感和外自>感,其中内自感Li的值仅与电缆内导体的长度有关,而与其半径无关。
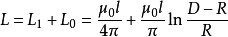
(4)二线传输线的自感(忽略端部效应)

式中R为两导线的半径;l为传输线长度;D为两导线轴线间距离。
参考资料:百度百科-电感



