一元二次方程根与系数的关系
的有关信息介绍如下:一元二次方程根与系数的关系:x1+x2=-b÷a,x1x2=c÷a。
根与系数的关系一般指的是一元二次方程ax²+bx+c=0的两个根x1,x2与系数的关系。即x1+x2=-b÷a,x1x2=c÷a,这个公式通常称为韦达定理。
根与系数的关系简单相关系数:
又叫相关系数或线性相关系数。它一般用字母r表示。它是用来度量定量变量间的线性相关关系。复相关系数:又叫多重相关系数复相关是指因变量与多个自变量之间的相关关系。例如,某种商品的需求量与其价格水平、职工收入水平等现象之间呈现复相关系。根与系数的关系,又称韦达定理。所谓的韦达定理是指一元二次方程根和系数之间的关系。一个一元二次方程的根可由求根公式求出,公式是含各项系数的代数式。因此一元二次方程的的根与各项系数之间一定存在着某种数量上的关系。

根与系数的关系(韦达定理)的推导:
对于一元二次方程的一般式:ax²+bx+c=0(a≠0)根据求根公式,当△≥0时,方程有两个实数根:x=(-b±√(b^2-4ac))÷2a,即x_1=(-b+√(b^2-4ac))÷2a,x_2=(-b-√(b^2-4ac))÷2a,
则两根之和与两根之积:x1+x2=(-b+√(b^2-4ac)-√(b^2-4ac))÷2a=-2b÷2a=-b÷a;x1x2=((-b+√(b^2-4ac))(-√(b^2-4ac)))÷2a=4ac÷(4a^2 )=c÷a。于是,得到了根与系数的关系,由于法国数学家韦达第一个发现了这个关系,所以把其称为韦达定理。
韦达定理的一些拓展:
1、若两根互为相反数,则b=0;
2、若两根互为倒数,则a=c;
3、若一根为0,则c=0;
4、若a、c异号(ac<0),方程一定有两个不等实根(因为此时△=b²-4ac>0);
5、一些特殊代数式值(对称代数式)。

韦达定理的应用:
1、题型1:求方程的两根和与两根积;
2、题型2:求特殊代数式(对称代数式)的值;
3、题型3:求待定系数(参数)的值(及综合)。
韦达定理的发现者简介:
韦达定理发现者—弗朗索瓦·韦达。弗朗索瓦·韦达(François Viète,1540-1603)1540年生于法国的普瓦图。1603年12月13日卒于巴黎。年轻时学习法律当过律师,后从事政治活动,当过议会的议员,在对西班牙的战争中曾为政府破译敌军的密码。韦达一生致力于数学研究,是第一个有意识地和系统地使用字母来表示已知数、未知数及其乘幂,为代数学理论研究取得重大进步作出了贡献。韦达在欧洲被尊称为“代数学之父”。韦达从事数学研究只是出于爱好,然而他却完成了代数和三角学方面的巨著。他的《应用于三角形的数学定律》(1579年)是韦达最早的数学专著之一,可能是西欧第一部论述6种三角形函数解平面和球面三角形方法的系统著作。他被称为现代代数符号之父。韦达还专门写了一篇论文"截角术",初步讨论了正弦(sin),余弦(cos),正切弦的一般公式,首次把代数变换应用到三角学中。他考虑含有倍角的方程,具体给出了将COS(nx)表示成COS(x)的函数并给出当n≤11等于任意正整数的倍角表达式了。他的《解析方法入门》一书(1591年),集中了他以前在代数方面的大成,使代数学真正成为数学中的一个优秀分支。他对方程论的贡献是在《论方程的整理和修正》一书中提出了二次、三次和四次方程的解法。

根系关系的三大用处:
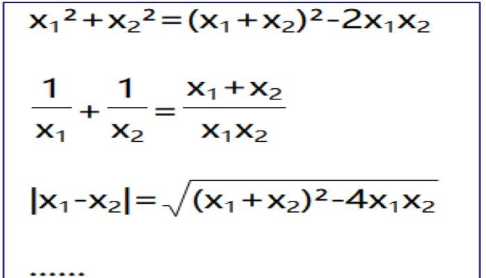
1、计算对称式的值:

2、构造新方程:

3、定性判断字母系数的取值范围:




