最简单的勾股定理的证明方法是什么?
的有关信息介绍如下:证法一:
这是最简单精妙的证明方法之一,几乎不用文字解释,可以说是无字证明。如图所示,左边是4个相同的直角三角形与中间的小正方形拼成的一个大正方形。

图形变换后面积没有变化,左边大正方形的边长是直角三角形的斜边c,面积是c2;右边图形可分割为两个正方形,它们的边长分别为直角三角形的两条直角边a和b,面积就是a2+b2,于是a2+b2=c2。
图中左边的“弦图”最早出现在公元222年的中国数学家赵爽所著《勾股方圆图注》,赵爽是我国数学史上证明勾股定理的第一人。2002年8月,在北京召开的国际数学家大会,标志着中国数学进入崭新的时代,大会会徽就是这个“弦图”,寓意中国古代数学取得的重要成果。
证法二:
这一解法应该是来历最有趣的证明方法之一,是由美国第20任总统茄菲尔德(JamesA.Garfield,1831~1881)用下图证明出的。

这位总统并不是一位数学家,他甚至都不曾学习过数学。他只是非正式地自学过几何知识,很喜欢摆弄基础图形,当他还是众议院议员时,想出了这个精巧的证明,1876年发表在《新英格兰教育杂志》(New England Journal of Education)上。总统先生的证明如下:
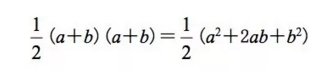
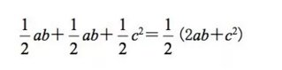
首先,图中的梯形面积为:

组成梯形的三个三角形的面积为:

因此就有如下等式:

即得a2+b2=c2。
接下来的两个证明非常简单易懂,被认为是所有证明中最短、最简单的证明,因为从开始到结束只用了几行。但这些证明依赖于相似三角形的概念,要全面展开这个概念还需要大量的基础工作,这里就不再赘述。
证法三:


证法四:
这一证法涉及到圆内相交弦定理:m·n=p·q(如左图),再看AB和CD垂直的情况,相交弦定理仍然成立(如右图),因此(c-a)(c+a)=b2。即得c2-a2=b2于是,a2+b2=c2。




