圆的极坐标方程是什么?
的有关信息介绍如下:在极坐标系中,圆心在(r0, φ)半径为a的圆的一般方程为:

推导:
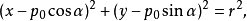
设圆的半径为r,圆心的极坐标为(p0,α),并变换为直角坐标:(p0cosα,p0sinα)。则圆上的点的直角坐标系方程为:

设圆上的点的极坐标为(α,β),则x=pcosβ,x=psinβ。因此:

化简为:

扩展资料:
极坐标方程的应用
1、定位和导航
极坐标通常被用于导航,作为旅行的目的地或方向可以作为从所考虑的物体的距离和角度。例如,飞机使用极坐标的一个略加修改的版本进行导航。
2、建模
有径向对称的系统提供了极坐标系的自然设置,中心点充当了极点。这种用法的一个典型例子是在适用于径向对称的水井时候的地下水流方程。有径向力的系统也适合使用极坐标系。这些系统包括了服从平方反比定律的引力场,以及有点源的系统,如无线电天线。
3、行星运动的开普勒定律
极坐标提供了一个表达在引力场中开普勒行星运行定律的自然数的方法。
参考资料来源:百度百科-极坐标方程



