配电系统中的需用系数,同时系数都是怎么得出来的
的有关信息介绍如下:需用系数公式推导:
模拟公式的推导基于以下三条规律:
1、户数(N)较少时,需要系数(K)为1;
2、需要系数(K)随户数(N)增大而减小,即KN≤KN-1 (KN是N所对应K值),且减少速率先急后缓;
3、每户安装功率相同时,小户数的计算功率恒小于大户数的,即(N-1)*KN-1*P< N*KN*P。
基于以上三条规律:可以假定N≤6时,K0=1,其后,每增加3户,K值做一次调整,调整后的K值等于调整前的K值乘以调整系数。
下面介绍怎样确定调整系数。假设N为3的倍数且N≥9,KN>KN-1*[(N-1)/N],故KN-2>KN-3*[(N-3)/(N-2)],根据前面假定可知:KN-2=KN-1=KN,所以KN>KN-3*[(N-3)/(N-2)],因(N-1)/N恒大于(N-3)/(N-2),故不妨令KN=KN-3*[(N-1)/N],即调整系数等于(N-1)/N。
同时使用系数:
同时使用系数反映高峰时段住宅空调同时使用的概率。在高峰时段对住宅空调使用情况进行实际观测,结果为空调开启或关闭两种情况,这样进行n 次观测(每户观测一次),观测结果,如有m 户的空调在高峰时开启,则同时使用系数为:

这里有一点需要说明的是,每户空调机数量有可能不只-台,空调机的数量和容量由建筑结构特点和用户的实际需求决定。对一次观测而言,如某户用户有两台空调,而高峰时段只开启其中一台,在统计结果中应体现这一差别,即应将观测所得资料换算成当量值。
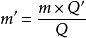
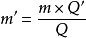
如在高峰时段作n 次观测,结果是有m 户的空调开启,而这m 户中实际使用的空调机冷量为Q’,而m 户空调机总冷量为Q ,则在空调高峰时段使用空调用户的当量数应为:


扩展资料
需用系数和同时系数的区别
1、释义不同
需用系数:需用系数是一个综合系数,它标志着用电设备组投入运行时,从供电网络实际取用的功率与用电设备组设备功率之比。
同时系数 :同时使用系数通常指在供冷系统中,空调高峰使用时段,同时开启的空调机的冷量占建筑内空调总冷量的百分比。
2、公式不同
需用系数:

同时系数 :

3、性质不同
需用系数:
用电设备组的设备并非同时都运行。该设备组在最大负荷时工作着的用电设备容量与该组用电设备总容量之比即为同期系数。
同时系数 :各建筑的逐时负荷,(n=0,1,2,……23),(k=住宅,商用,旅馆,办公,文体);各类建筑本身的同时使用系数;各类建筑的面积。
参考资料来源:
百度百科——需要系数
百度百科——同时使用系数



