常数与任意函数的卷积是否为该函数?
的有关信息介绍如下:常数与任意函数的卷积依然为该函数。证明如下图所示:

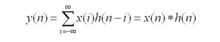
卷积是两个变量在某范围内相乘后求和的结果。如果卷积的变量是序列x(n)和h(n),则卷积的结果

其中星号*表示卷积。当时序n=0时,序列h(-i)是h(i)的时序i取反的结果;时序取反使得h(i)以纵轴为中心翻转180度,所以这种相乘后求和的计算法称为卷积和,简称卷积。另外,n是使h(-i)位移的量,不同的n对应不同的卷积结果。
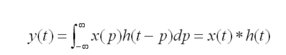
如果卷积的变量是函数x(t)和h(t),则卷积的计算变为

其中p是积分变量,积分也是求和,t是使函数h(-p)位移的量,星号*表示卷积。
扩展资料
卷积定理指出,函数卷积的傅里叶变换是函数傅里叶变换的乘积。即,一个域中的卷积相当于另一个域中的乘积,例如时域中的卷积就对应于频域中的乘积。
F(g(x)*f(x)) = F(g(x))F(f(x))
其中F表示的是傅里叶变换。
这一定理对拉普拉斯变换、双边拉普拉斯变换、Z变换、Mellin变换和Hartley变换(参见Mellin inversion theorem)等各种傅里叶变换的变体同样成立。在调和分析中还可以推广到在局部紧致的阿贝尔群上定义的傅里叶变换。
利用卷积定理可以简化卷积的运算量。对于长度为n的序列,按照卷积的定义进行计算,需要做2n- 1组对位乘法,其计算复杂度为;而利用傅里叶变换将序列变换到频域上后,只需要一组对位乘法,利用傅里叶变换的快速算法之后,总的计算复杂度为。
参考资料来源:百度百科—卷积



